R scripts to assess stream ecological integrity.
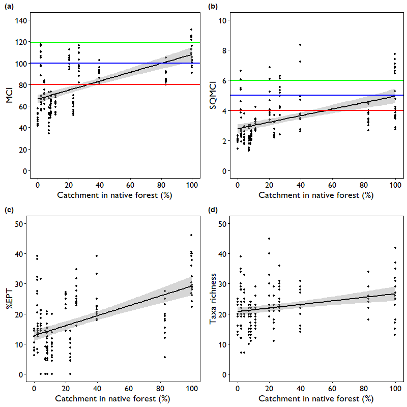
sites.rprints a mp with all studied sites.stats.rprovides results from all linear regression, Pearson and Kendall correlation tests.mds.rprovides non-parametric multidimensional analysis on macroinvertebrates community composition.streams.rprovides with a wide variety of plots for the MCI, SQMCI, %EPT and Taxa richness for individual sites and main land use categories Native, Forestry, Urban and Pasture lands.
